
सरपंच
ABC

संगणक परिचालक
SDF

ग्रामपंचायत अधिकारी
xyz
ग्रामपंचायतीतील पदाधिकारी व कर्मचारी

सदस्य
QWE

पाणी पुरवठा कर्मचारी
POIU

तलाठी
MNM

संगणक परिचालक
HFHD

संगणक परिचालक
YUIP

गावातील मार्गदर्शक
chandresh gawali
माझी स्वच्छआदर्श पंचायत
विकास कामे माहिती

ग्रामपंचायत लासलगांव माझी वसुंधरा अभियान
ग्रामपंचायत लासलगांव माझी वसुंधरा अभियान ५,० शपथ
ग्रामपंचायत लासलगांव माझी वसुंधरा अभियान ५,० शपथ

ग्रामपंचायत लासलगांव माझी वसुंधरा अभियान ५,० शपथ

ग्रामपंचायत लासलगांव माझी वसुंधरा अभियान ५,०

ग्रामपंचायत लासलगांव माझी वसुंधरा ५ अंतर्गत रास्ता खडीकरण

ग्रामपंचायत लासलगांव माझी वसुंधरा ५ अंतर्गत रोपवाटिका

ग्रामपंचायत लासलगांव माझी वसुंधरा ५,० अंतर्गत Bio West

ग्रामपंचायत लासलगांव माझी वसुंधरा ५,० अंतर्गत आकाश घटक अंतर्गत प्रचार प्रसिद्धी
ग्रामपंचायत लासलगांव माझी वसुंधरा ५,० अंतर्गत दत्त मंदिर पाण्याची टाकी प्रचार प्रसिद्धी
ग्रामपंचायत लासलगांव माझी वसुंधरा ५,० अंतर्गत पाटील गल्ली सोलर दिवे

ग्रामपंचायत लासलगांव माझी वसुंधरा ५,० अंतर्गत पाण्याची टाकी रंगकाम
ग्रामपंचायत लासलगांव माझी वसुंधरा ५,० अंतर्गत भूमी थिम वृक्ष लागवड
ग्रामपंचायत लासलगांव माझी वसुंधरा ५,० अंतर्गत रास्ता खडीकरण करणे

ग्रामपंचायत लासलगांव माझी वसुंधरा ५,० अंतर्गत रास्ता खडीकरण

ग्रामपंचायत लासलगांव माझी वसुंधरा ५,० अंतर्गत रोपवाटिका

ग्रामपंचायत लासलगांव माझी वसुंधरा ५,० अंतर्गत शपथ
ग्रामपंचायत लासलगांव माझी वसुंधरा ५,० अभियान
माझी वसुंधरा अभियान ५ ग्रा, पं, लासलगाव लोक जैवविविधता PBR नोंद वही
माझी वसुंधरा अभियान ५ ग्रा, पं, लासलगाव हद्दीतील नोटीस बोर्डवरील दिलेली प्रसिद्धी

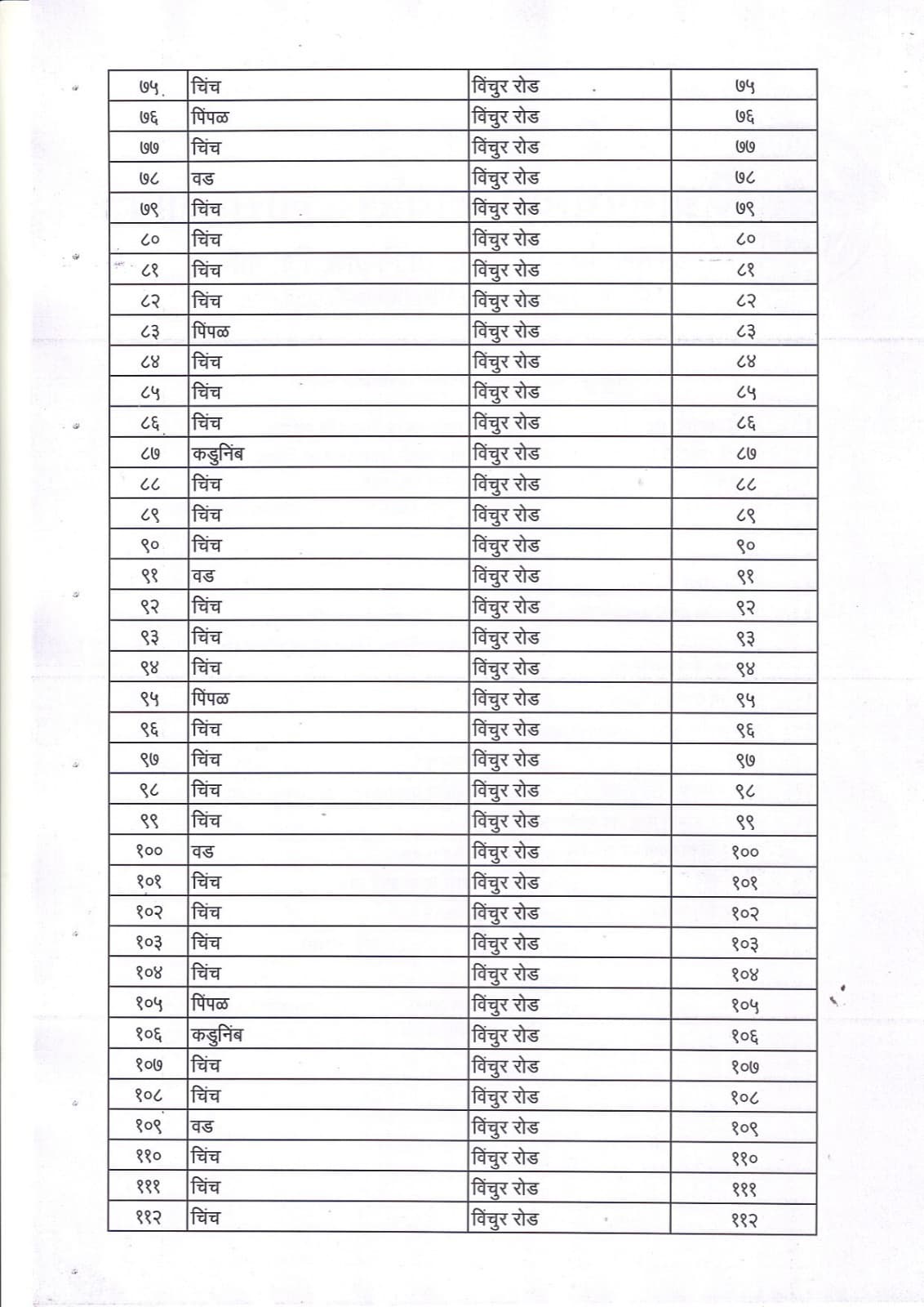
माझी वसुंधरा अभियान ५ ग्रा, पं, लासलगाव हेरिटेज ट्री यादी

वृक्ष गणना नोंद व प्रसिद्ध यादी - 1

वृक्ष गणना नोंद व प्रसिद्ध यादी - 2

वृक्ष गणना नोंद व प्रसिद्ध यादी - 3

वृक्ष गणना नोंद व प्रसिद्ध यादी - 4

वृक्ष गणना नोंद व प्रसिद्ध यादी - 5

वृक्ष गणना नोंद व प्रसिद्ध यादी - 6

वृक्ष गणना नोंद व प्रसिद्ध यादी - 7

वृक्ष गणना नोंद व प्रसिद्ध यादी - 8

वृक्ष गणना नोंद व प्रसिद्ध यादी - 9

वृक्ष गणना नोंद व प्रसिद्ध यादी - 10
उत्पन्नाचे स्रोत
उत्त्पन्नाचे कोणतेही स्रोत नमूद नाही.
विकास कामे
कोणतीही विकास कामे नमूद नाहीत.
थकबाकी / वसुली माहिती
कोणतीही थकबाकी / वसुलीची नोंद नाही.
आपातकालीन सेवा
गावाबद्दल माहिती
- या ग्रामपंचायत मध्ये एकूण 3 वार्ड आहेत.
- ग्रामपंचायत hatgad मध्ये ग्रामपंचायत पदाधिकारी पदांची संख्या 17 आहे.
- ग्रामपंचायत हद्द पश्चिमेस टाकळी शिवार पूर्वेस राजवाडा निमगाव रोड शिवार उत्तरेस कोटमगाव रोड शिवार व दक्षिणेस विंचूर रोड शिवार.
ग्राम पंचायतीचे उद्दिष्ट
- ग्रामपंचायत मासोद गाव विद्यापीठ रोड ते मार्डी रोड पश्चिमेस ८ कि.मी.अंतरावर वसलेले गाव आहे.हे एक आदर्श सुंदर गाव आहे.
- ग्रामपंचायत मासोद ग्रामपंचायत ची स्थापना १९६६ या साली झाली.
ग्राम पंचायतीचे कार्य
- ग्रामपंचायत मासोद अंतर्गत वृक्ष लागवड करण्यात आली.
- ग्रामपंचायत मासोद ने स्वच्छ भारत मिशन अर्तागत प्रमाणपत्र मिळालेले आहे
- ग्रामपंचायत मासोद मार्फत नवयुवक मुलांकरिता व्यायाम शाळा करण्यात आली आहे
- ग्रामपंचायत मासोद अंतर्गत गावातील रस्ते, नाली व रस्त्याच्या कडेला चेकर्स बसविण्यात आलेले आहे
- ग्रामपंचायत मासोद सन २०१७-२०१८, मध्ये ग्रामपंचायत कार्यालय इमारत सुंदर स्वरूपात उभारण्यात आली
- ग्रामपंचायत मासोद iso प्रमाणित केलेली आहे
विडीयो गॅलरी
अहवाल व माहिती
ग्रामपंचायत आदर्श तक्ता
- ग्रामपंचायत स्थापना :
0
- एकूण लोकसंख्या :
0
- एकूण पुरुष :
0
- एकूण महिला :
0
- गावाचे भौगेलिक क्षेत्र :
0
- एकून खातेदार संख्या :
- एकून कुटुंब संख्या :
- एकून घर संख्या :
- एकून शौच्छालय संख्या :
- गृह कर :
पाणी कर : एकून खाजगी नळ सख्या : एकून सार्वजनिक नळ सख्या : एकून हातपंप : विहीर : टयुबवेल : इंदिरा आवास घरकुल / इतर घरकुल योजना संख्या : सुवर्ण जयंती ग्राम स्वच्छता योजना लाभार्थी : एकून शेतकरी संख्या : एकून सिचंन विहिरीची संख्या : एकून गुरांची संख्या : एकून गोठयांची संख्या : बचत गट संख्या : अंगणवाडी : खाजगी शाळा संख्या : जिल्हा परिषद शाळा संख्या : एकून गोबर गॅस संख्या : एकून गॅस जोडणी संख्या : एकून विद्युत पोल संख्या : प्राथमिक आरोग्य केंद्र किवा उपकेंद्र : प्रवासी निवारा : ग्राम पंचायत कर्मचारी : संगणक परिचालक : ग्राम रोजगार सेवक : महिला बचत गट संस्था : समाज मंदिर : हनुमान मंदिर : पशुवैधाकिय दवाखाना : पोस्ट आफिस :
गावाचा नकाशा व दिशा पट



